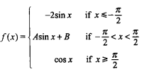
Consider the function
which is continuous everywhere.
The value of B is
Mathematics
2015
NDA Mathematics 2015
NDA 2015
Options
Similar Questions
Two dice each numbered from 1 to 6 are thrown together. Let A and B…
Two dice each numbered from 1 to 6 are thrown together. Let A and B…
An urn contains one black ball and one green ball. A second urn contains one…
An urn contains one black ball and one green ball. A second urn contains one…
What is the most probable number of successes in 10 trials with probability of success…